| Zehnerpotenzen / Einheitenvorsätze |
| Jede physikalische Größe besteht aus Zahlwert und Einheit.
Bei einigen physikalischen Größen wie Kraft, Druck, Geschwindigkeit,... ist auch
die Richtung der Größe von Interesse. Diese Größen heißen vektorielle Größen,
doch dazu später. Häufig ist es nicht sinnvoll, eine Größe in ihrer
Grundform ( ohne Einheitenvorsatz ) anzugeben z.B.
- die Länge einer
Büroklammer ( 0,032m)
- die Strecke von
Rotenburg /W nach München (739900 m)
- die Stärke einer
Plastikfolie ( 0,00001m)
- die Ladung eines
Elektrons (0,000 000 000 000 000 000 160 217 646 2 C )
Um diese Größen
übersichtlich angeben zu können und sich nicht ausschließlich auf das Zählen der
Nullen zu konzentrieren, bieten sich zwei einfache Möglichkeiten an.
|
1. Versehen der
Einheiten mit Vorsatz
2. Angabe in
Zehnerpotenzen
|
| Vorsatz |
gesprochen |
Bedeutung |
Zehnerpotenz |
| y |
Yocto |
1/1 000 000 000
000 000 000 000 000 |
|
10-24 |
| z |
Zepto |
1/1 000 000 000
000 000 000 000 |
ein
Trilliardstel |
10-21 |
| a |
Atto |
1/1 000 000 000
000 000 000 |
ein
Trillionstel |
10-18 |
| f |
Femto |
1/1 000 000 000
000 000 |
ein
Billiardstel |
10-15 |
| p |
Piko |
1/1 000 000 000 000 |
ein Billionstel |
10-12 |
| n |
Nano |
1/1 000 000 000 |
ein Milliardstel |
10-9 |
| µ |
Mikro |
1/1 000 000 = 0,000 001 |
ein Millionstel |
10-6 |
| m |
Milli |
1/1000 = 0,001 |
ein Tausendstel |
10-3 |
| c |
Zenti |
1/100 = 0,01 |
ein Hundertstel |
10-2 |
|
d |
Dezi |
1/10 = 0,1 |
ein Zehntel |
10-1 |
|
|
|
|
|
| da |
Deka |
10 |
Zehn |
101 = 10 |
| h |
Hekto |
100 |
Hundert |
102 = 100 |
| k |
Kilo |
1 000 |
Tausend |
103 = 1000 |
| M |
Mega |
1 000 000 |
Million |
106 |
| G |
Giga |
1 000 000 000 |
Milliarde |
109 |
| T |
Tera |
1 000 000 000 000 |
Billion |
1012 |
| P |
Peta |
1 000 000 000 000
000 |
Billiarde |
1015 |
| E |
Exa |
1 000 000 000 000
000 000 |
Trillion |
1018 |
| Z |
Zetta |
1 000 000 000 000
000 000 000 |
Trilliarde |
1021 |
| Y |
Yotta |
1 000 000 000 000
000 000 000 000 |
|
1024 |
|
Die
kursiv geschriebenen Vorsätze haben nur in wenigen Bereichen eine Bedeutung. In
der Schulphysik werden sie keine Anwendung finden.
|
|
Bei der Verwendung
von Einheitenvorsätzen sind einige Regeln zu beachten: |
-
Keine Einheit darf
mit mehreren Vorzeichen versehen werden. ( z.B. 5
000 000 Hz = 5 kkHz
falsch; 5000000 Hz = 5 MHz richtig )
-
Die Einheit von
Ergebnissen sollte mit einem Vorsatz versehen werden, der den Zahlwert in einen
Bereich zwischen 0,1 und 1000 bringt.
-
Die Kombination
von Einheit und Vorsatz gilt als ein Symbol, so dass auch Potenzen für den
Vorsatz gelten.
|
|
z.B.
1km = |
1000 m |
|
1km2 =
|
1km * 1km
= 1000m * 1000m
= 1 000 000 m2 |
|
1cm3 =
|
1cm * 1cm * 1cm = 0,01m * 0,01m
* 0,01m = 0,000 001m3 |
|
In vielen
Rechnungen ist es sinnvoll, Einheiten vor dem Weiterrechnen zu kürzen.
|
|
Hierbei müsst ihr
beachten, dass nur gleiche Einheiten gegeneinander gekürzt werden können. Es
kommt jedoch nicht nur auf die physikalische Größe, sondern auch auf den
Einheitenvorsatz an.
|
|
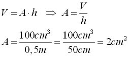
Ein Quader habe das Volumen V =
100cm2. Welche Grundfläche hat der Quader, wenn seine Höhe 0,5m
beträgt? |
 |
Die Höhe
0,5m wird in 50cm umgerechnet. Die Einheit cm kann dann gegen die cm3
aus dem Zähler gekürzt werden. |
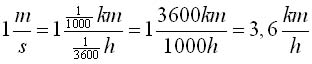
| Die Einheitenvorsätze von
Widerstand [R] = Ω und Länge [s] = m können auch zusammengefasst werden. |
Das gilt selbstverständlich auch bei der Division,
|
z.B.
|

|
aber auch für Umrechnungen.
|
 |
| |
| Noch komplizierter wird es, wenn auch
die umzurechnenden Größen mit einem Exponenten versehen sind, (z.B. 2,6 µm2
in ....m2 ) oder einzelne Größen sehr groß ( Abstand Erde – Sonne )
oder sehr klein werden. ( Masse einen Elektrons )
|
|
Dann ist es einfacher mit Zehnerpotenzen
zu arbeiten. Das Einfache daran ist, dass auch die
Zehnerpotenzen gekürzt werden
können.
|
Beispiel 1: Wie viel Zeit benötigt ein Signal bzw. "ein
Lichtstrahl" von der Sonne zur Erde. Die mittlere Entfernung Erde Sonne
beträgt 149 600 000 km = 149 600
000 000 m und das Licht breitet sich mit einer
konstanten Geschwindigkeit von 300 000km/s
aus.
|
Ein Signal von der Sonne benötigt als rund 8 min und 18 s um die Erde zu
erreichen.
Beispiel 2
- Einheit mit Potenz
Bei einer Explosion wird ein Teilchen
mit a = 1 km/s2
für t = 10ms beschleunigt. Welchen Weg hat es während der
Beschleunigung zurückgelegt?
Das Teilchen hat in den 10ms einen Weg von 5cm zurückgelegt.
Beispiel 3 - Einheiten mit Potenzen -
Kürzen von Zehnerpotenzen
Auf eine Platte der Fläche A = 80cm2 wirkt ein Druck von
p = 100 kPa. Wie
Groß ist die Kraft, die der Druck verursacht?
 |
Einheit des Drucks p: |
 |
 |
1 kPa = 1000 Pa = 1*10*10*10 Pa = 1*103 Pa |
 |
(10-2)2 = 10-2 * 10-2 = 10-2+(-2)
= 10-4 |
| |
|
 |
100*103 = 100*10*10*10
= 100 000 = 105 Die Einheiten der Flächen (m2)
in Zähler und Nenner werden gekürzt. |
| |
|
|
F = 800 N |
|
 |
| |
|
 |
| |
|
|
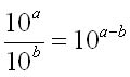
allgemein gilt: |
 |
|
Multiplikation von Potenzen mit gleicher Basis: |
| Die Exponenten werden
addiert, die Basen bleiben erhalten. |
|
Division von Potenzen mit
gleicher Basis:
Die Exponenten werden
subtrahiert, die Basen bleiben erhalten. |
 |
| |
|
| Bei der Rechnung mit
Zehnerpotenzen kann also auf Einheitenvorsätze weitgehend verzichtet werden. Ferner bleiben die zu
betrachtenden Zahlen übersichtlich und nach etwas Übung können viele Ergebnisse
durch vorheriges Kürzen bereits abgeschätzt werden (Überschlag). |
| Ihr erspart euch also, wiederholt Vor- und Nachkommastellen
auszuzählen, was nicht nur sehr langweilig ist,
sondern bei den "Nichtganzsoschönschreibern" auch
schnell zu Fehlern führen kann. |
weiter
... in Arbeit ....
|