[physik] [home] [rgr]   [mathematik]

 

Potenzen - Potenzgesetze

Die Potenzen und Potenzfunktionen sind / waren Gegenstand des Mathematikunterrichts der Klasse 10. Die folgenden Abhandlungen dienen weder zur Erarbeitung noch zum selbstständigen Erlernen. Sie sollen ausschließlich die Reaktivierung des Stoffes erleichtern und einen kompakten Überblick über die Gesetzmäßigkeiten jenseits der Klasse 10 ermöglichen.

 

bulletVorbetrachtungen zu Potenzen
 
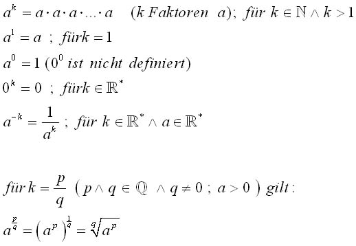
allgemein zu Potenzen  

 

 

 

bullet

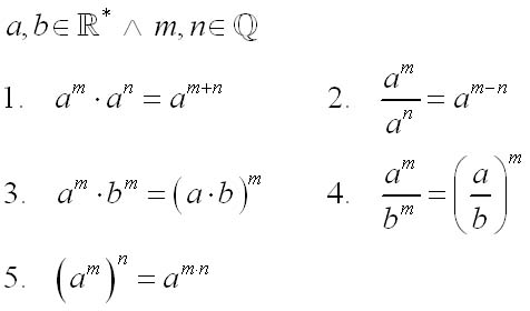
Potenzgesetze :

 

 
         
     
     

 

 

 
bullet

Übungen zum Rechnen mit Zehnerpotenzen und Einheitenvorsätzen

... weiter - in Arbeit ...

zurück - Ma-10                            zurück - Ph - Hilfsmittel        zurück zu Zehnerpotenzen / Einheitenvorsätze

[home] [wegweiser] [physik] [mathematik]
U. Konrad [Kontakt] [them. Übersicht] [Videos] [alphab. Übersicht] [intern]