|
Thema: |
Aufnahme
einer Schwingung zur Untersuchung des Dämpfungsverhaltens mithilfe einer
Schattenprojektion |
| |
|
|
Versuchsidee: |
In der Vorbetrachtung zu diesem Experiment wurde die
Hypothese aufgestellt, dass die Abnahme der Amplituden einer Schwingung
einer exponentiellen Form genügt. Die Annahme einer linearen Abnahme wurde
aus theoretischen Gründen verworfen.
In dem vorliegenden Fall wird die Schwingung eines
bifilar aufgehängten Fadenpendels mithilfe einer Schattenprojektion
aufgenommen und das Dämpfungsverhalten dieser Schwingung untersucht. |
|
Material:
|
-
Oberlichtprojektor
-
Pendelkörper (Stahlkugel mit Öse m = 300g)
-
Faden (ca. 1,0m)
-
Stativ
-
weißes Papier (ca. 0,7m * 0,3m)
-
Stift und Lineal
-
Stopuhr |
|
Versuchsskizze:
|
Oberlichtprojektor
Projektionswand |
Stativ + Pendel |
 |
|
Äußere Beschreibung:
|
|
Versuchsaufbau:
|
Der Faden des Pendelkörpers wird
bifilar am Stativ aufgehängt und vom Oberlichtprojektor bestrahlt. Die
Projektionswand wird mit weißem Papier, auf dem eine Messskala gezeichnet
ist, beklebt.
|
|
Durchführung: |
Der
Pendelkörper wird vom Projektor bestrahlt und es entsteht ein Schatten des
Pendelkörpers auf der Projektionswand. Nun wird das Pendel um etwa 30°
ausgelenkt und auf Befehl des Zeitmessers losgelassen. Ein Mitarbeiter
guckt, wann die äußere Schattenseite des Pendelkörpers den
Auslenkungspunkt a (z.B. 20cm) gerade noch berührt und gibt die Zeit,
welche vom zweiten Mitarbeiter aufgeschrieben wird, bekannt. Dieses wird
an verschiedenen Auslenkungspunkten (z.B. 19, 18, ..., 10cm usw.)
wiederholt.
|
Messreihe:
|
|
Auslenkung |
Zeit in sec |
|
|
|
|
in cm |
Versuch 1 |
Versuch 2 |
Versuch 3 |
Mittelwert |
|
28 |
0 |
0 |
0 |
0 |
|
27 |
25 |
15 |
|
20,0 |
|
26 |
56 |
45 |
46 |
49,0 |
|
25 |
80 |
66 |
|
73,0 |
|
24 |
114 |
105 |
114 |
111,0 |
|
23 |
148 |
130 |
|
139,0 |
|
22 |
180 |
161 |
180 |
173,7 |
|
21 |
220 |
205 |
|
212,5 |
|
20 |
260 |
261 |
261 |
260,7 |
|
19 |
306 |
282 |
|
294,0 |
|
18 |
350 |
335 |
366 |
350,3 |
|
17 |
410 |
395 |
|
402,5 |
|
| |
Die Auslenkung in cm ist hier nur ein relativer Wert.
Durch die Schattenprojektion wird die Auslenkung in einem unbekannten
Maßstab verzerrt. Deshalb kann im Graphen nicht die tatsächliche
Auslenkung sondern nur das Verhältnis zwischen Auslenkung und Zeit
dargestellt werden. |
| |
 |
|
Fehlerrechnung
/ Fehleranalyse
|
|
Ablesefehler: |
Beim Ablesen der aufgenommenen Daten ist von einem
nicht unerheblichen Ablesefehler auszugehen. Durch die Schattenprojektion
mit einer relativ großen Lichtquelle wirft die Kugel einen Kern- und einen
Halbschatten. Wir haben versucht die Zeit zu bestimmen, in der der
Kernschatten nicht mehr auf einem Skalapunkt zu sehen war. Durch die
ständige Bewegung war es zum Teil ziemlich schwer den Kern vom
Halbschatten zu unterscheiden. Dadurch kamen die Zeitstopbefehle oft zu
früh oder zu spät.
Man muss hierbei bedenken, dass ein Zeitstopbefehl nur am Ende einer
Periode Sinn machte. Die Auslenkungsabnahme innerhalb einer Periode konnte
also nicht bestimmt werden. Es liegt in den Messungen der Zeit also ein
maximaler Fehler von einer Periode vor (ca. 1-2 sek.) wenn man davon
ausgeht, dass derjenige mit der Uhr perfekt gestoppt und derjenige an der
Skala richtig geguckt hat. Davon kann man leider nicht ausgehen, es kommt
also noch die Rektions-Zeit des Stoppers (ca. 1 sek.) und die
„Verplantheit“ des Ablesers hinzu. Also im Falle eines Stoppbefehls, der
schon am letzten oder erst am nächsten maximalen Ausschlag erfolgt haben
sollte, ein Verfälschung des Ergebnisses um weitere 1-2 Sekunden.
|
|
Äußere
Fehlereinflüsse: |
Äußere Fehlereinflüsse sind bis auf 2 Dinge zu
vernachlässigen.
1. Das Stativ, an dem das Pendel bifilar aufgehängt war, war nicht perfekt
fixiert, es bewegte sich im Takt des Pendels ein wenig mit. Da das Stativ
sich aber ähnlich wie der Pendel bewegte ist hierbei von einer
Proportionalität auszugehen. Der verfälschende Proportionalitätsfaktor
müsste durch den unbekannten Verzerrungsfaktor durch die
Schattenprojektion zu vernachlässigen sein. Trotzdem ist davon auszugehen,
dass sich das Schwanken des Stativs fehlerhaft auf unsere Messungen
auswirkte.
2. Mitten in unserer 2. Versuchsreihe setzte sich der hier fairerweise
nicht namentlich genannte Fachlehrer zwecks einer Fotographie mitten auf
den Tisch, an dem das Stativ festgeschraubt war. Es war ein deutliches
Schwanken zu vermerken, was den Ausschlag sichtbar beeinflusste und unsere
Messung damit verfälschte.
Wir haben versucht, all diesen Fehler mit mehreren Versuchsreihen
entgegenzuwirken und benutzten für die Graphik die Mittelwerte aller
Zeitmessungen.
|
|
Auswertungsfehler: |
Die im Unterricht
gegebenen Formeln gelten nur näherungsweise für kleine Winkel. Wir haben
jedoch Winkel um die 20-30 Grad betrachtet.
Wir haben aus Gründen der Vereinfachung die Auslenkung
aufgenommen. Diese ist jedoch nicht proportional zur Höhe. Um eine
Frequenz aufnehmen zu können benötigt man aber diese Höhe. Wir hätten die
aufgenommene Auslenkung mit Hilfe des Strahlensatzes in die tatsächliche
Auslenkung umrechnen und somit über den Sinussatz die Höhe bestimmen
können. Das haben wir nicht getan, also wurden die Werte mit einem sich
immer ändernden Sinus aufgenommen, der besonders bei größeren Winkeln
einen großen Fehler bewirkt.
|
|
Auswertung:
|
Bei der betrachteten Pendelbewegung treten
unterschiedliche Arten von Reibung auf, sodass dem Oszillator mechanische
Energie entzogen wird und sich die Amplitude verringert.
Wenn sich der Körper hin- und herbewegt tritt als
Reibungswiderstand insbesondere ein Luftwiderstand in Erscheinung. Im
Übrigen spielt noch ein Reibungswiderstand an der Aufhängung, sowie ein
evtl. seitliches Ausscheren des Pendels aus der Bahn („nicht-lineare“
Pendelbahn) eine bedeutende Rolle.
Im Verlauf der Zeit nimmt die mechanische Energie des
Systems ab, und die Energie wird in thermische Energie in Form von
Reibungsverlusten umgewandelt.
Eine Untersuchung der Messwerte ergab, dass die
Amplitude exponentiell verringert wird. Die Umlaufzeit bzw. die Frequenz
bleiben jedoch - theoretisch gesehen - konstant.
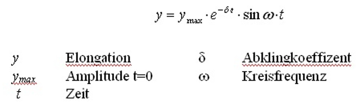
Die gedämpfte Schwingung wird beschrieben durch die
Funktion: |
|
 |
|
Wie gesagt spielt der Luftwiderstand bei dem
vorliegenden Experiment eine zentrale Rolle, dieser ist proportional zum
Quadrat der Geschwindigkeit.
Bei einer Halbierung der Geschwindigkeit verviertelt
sich der Luftwiderstand: Die Verringerung der Amplitude erfolgt anfangs
relativ schnell, dann immer langsamer.
Die genannten Zusammenhänge lassen sich auch
mathematisch beschreiben, wobei diese allerdings nicht elementar aus
wenigen Messwerten ableitbar sind.
Für eine gedämpfte Schwingung gilt:
|
| |
 |