|
Druckversion (pdf)
|
zurück |
|
Bastian Inselmann, Nils Friedrich |
Datum: 18.02.04 |
|
Physik LK 12/2 –
Schwingungen und Wellen
Fachlehrer Konrad
|
|
Thema:
|
Aufnahme einer Schwingung zur Bestimmung des
Dämpfungsverhaltens über die Momentangeschwindigkeit im Nullpunkt. |
|
Versuchsidee: |
Im Vorfeld wurde zu diesem Experiment ein Hypothese
aufgestellt, dass die Abnahme der Amplituden einer Schwingung einer
exponentiellen Funktion genügt. Durch Vorherige Überlegungen wurde die
lineare Abnahme der Amplituden ausgeschlossen.
Um diese Hypothese zu Beweisen haben wir in unserer Gruppe die Schwingung
eines Pendels über die Momentangeschwindigkeit im Nullpunkt. Diese haben wir
über den Durchmesser des Pendels mit Hilfe eines Dunkelzeitmessers
ermittelt. Aus der Geschwindigkeit kann dann wiederum über den
Energieerhaltungssatz die Höhe des Ausschlags berechnet werden.
|
|
Aufbau:
|
Eine 3 cm breite Stahlkugel wird als Pendelkörper mit
einer biflaren Aufhängung 1,7 Meter unter zwei festen Punkten (an der
Zimmerdecke) befestigt, um eine Schwingung auf einer Ebene zu gewährleisten.
Die Dunkelzeitmesser werden im Nullpunkt angebracht, wo die Kugel die
höchste kinetische Energie besitzt. Einer der Dunkelzeitmesser misst die
Anzahl der Schwingungen, der Andere misst die Zeit, die die Kugel benötigt
um die Lichtschranke zu passieren. |
| |
 |
 |
|
Durchführung:
|
Die Kugel wird zum Schwingen gebracht und nach jeweils 10
Schwingungen wird mit Hilfe des Dunkelzeitmessers die Zeit gemessen, die die
Kugel benötigt, um einmal die Lichtschranke zu passieren. Es wird danach,
anhand der Zeit und des Durchmessers der Kugel, die jeweilige
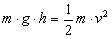
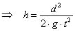
Geschwindigkeit des Pendels errechnet. Über den Energieerhaltungssatz ’WKin
= WPot’ lässt sich aus der Geschwindigkeit mit einigem Umformen die
theoretisch erreichte Höhe errechnen (sie wird bei andauernder Dämpfung zwar
nie direkt erreicht, ist aber trotzdem Ausreichend): |
| |
|
| |
 |
 |
 |
| |
|
|
Messwerte: |
 |
| |
|
|
 |
 |
| |
|
|
Fehlerbetrachtung: |
Der größte Fehlereinfluss wird wohl die Ungenauigkeit des
Dunkelzeitmessgeräts sein. Es hat einen (angenommenen) Grundfehler von 1,5%.
Darüber hinaus ist die Anzeige auf die Millisekunde genau unzureichend, das
dadurch ein zusätzlicher Fehler von einer Millisekunde durch Rundungen
entstehen kann. Ablesefehler können komplett ausgeschlossen werden. Weitere
Fehleinflüsse sind durch die hohe Fadenlänge und die bifilare Aufhängung
minimiert. Beschränkt auf Messfehler ließe sich somit wie folgt errechnen:
Beim ersten Wert ist ein maximaler Fehler von 1 ms + 0,5
ms, also von 4,2% möglich. Trotzdem sind 1,5 ms Verschiebung nicht wirklich
kritisch, da sehr große Abstände zu den darauffolgenden Werten vorhanden
sind. Der Fehler könnte 19% des Abstandes ausmachen.
Beim letzten Wert dagegen wären es 1 ms + 2,7 ms, also
nur von 2%. Doch diese 3,7 ms sind fast zwei Drittel des Abstandes zum
nächsten Wert, somit sind der Fehleinflüsse bei geringeren Geschwindigkeiten
um einiges größer als bei der Geschwindigkeit am Anfang des Experiments.
|
|
Auswertung:
|
Im Ansatz – vor allem bei der ausschließlichen
Betrachtung der ersten Werte – wurde die Theorie einer exponentiellen
Abnahme bestätigt. Es lässt sich klar eine Halbwertszeit erkennen und auch
eine passende Funktion finden. Wenn mal allerdings auf alle 18 Werte
zurückgreift, so lässt sich keine Halbwertszeit bestimmen oder Kurve
zeichnen – die Daten sind durch den zu großen Fehler unbrauchbar!
Generell ist dieses Experiment durchaus brauchbar zur
Bestimmung des Dämpfungsverhaltens bei Schwingungen, allerdings lässt die
finale Genauigkeit noch zu wünschen übrig.
Bei einer Wiederholung des Experimentes sollte vor
allem an den Messungen gearbeitet werden. Eine höhere
Anfangsgeschwindigkeit und ein genaueres Messinstrument würden die
Abweichungen von der exponentiellen Abnahme minimieren. |
zurück
[home]
|