[zurück]   [rgr]   [home] [physik] [wegweiser]

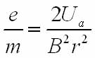
Die spezifische Ladung eines Elektrons e/m       

F EXCEL - Animation F Beschreibung zum Experiment
   
Röhrennetzgerät Volt-Meter Ampere-Meter Fadenstrahlrohr Netzgerät Helmholtz-Spulenpaar Helmholtz-Spulenpaar

Aufbau des Experimentes:

Zwei in Reihe geschaltete Helmholtz-Spulen mit dem Radius R und dem Abstand s, zwischen denen ein weitgehend homogenes, magnetisches Feld erzeugt wird, sind über ein in Reihe geschaltetes Ampèremeter an einem Netzgerät angeschlossen.

Der Stromfluss und somit die Stärke des erzeugten Magnetfeldes lassen sich über das Potentiometer regulieren.

 
   
Das Fadenstrahlrohr
Die Bahn der Elektronen
   

F EXCEL - Animation

   

 

  

[home] [wegweiser] [physik] [mathematik]
U. Konrad [Kontakt] [them. Übersicht] [Videos] [alphab. Übersicht] [intern]