[physik] [home] [rgr]   [mathematik]

 

Logarithmen - Logarithmengesetze

Die Logarithmen sind / waren Gegenstand des Mathematikunterrichts der Klasse 10. Die folgenden Abhandlungen dienen weder zur Erarbeitung noch zum selbstständigen Erlernen. Sie sollen ausschließlich die Reaktivierung des Stoffes erleichtern und einen kompakten Überblick über die Gesetzmäßigkeiten jenseits der Klasse 10 ermöglichen.

 

Vorbetrachtungen zu den Logarithmen  
   
 
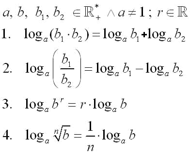
bulletLogarithmengesetze
 
           
     

 

bulletspezielle Logarithmen :

Allgemein kann jede positive, von 1 verschiedene Zahl, als Basis in die Logarithmusfunktion eingesetzt werden.  Häufig wird jedoch die Basis 10 oder e (Eulersche Zahl e=2,7182818...) verwendet. Auch die Zahl 2 ist eine oft benötigte Basis. Daher hat man für diese speziellen Logarithmen vereinfachte Schreibweisen eingeführt. Die Logarithmen zur Basis 10 und zur Basis e können direkt mit dem Taschenrechner berechnet werden.

bulletLogarithmus zur Basis 10  

(Logarithmus dezimales)

log10x = lg x

bulletLogarithmus zur Basis e

(Logarithmus naturales)

loge x = ln x

bulletLogarithmus zur 2

(Logarithmus duales)

log2 x = ld x

Zur Berechnung von Logarithmen mit Basen, die von 10 und e verschieden sind, kann folgender Zusammenhang helfen.

Da die Basis c im Rahmen ihres Definitionsbereiches frei wählbar ist, kann c durch 10 oder e ersetzt werden. So können auch Logarithmen mit anderen Basen mit dem Taschenrechner berechnet werden.

 
 
   

 

...weiter - Beispielrechnungen - in Arbeit ...

zurück - Ma 10                        zurück - Ph - Hilfsmittel

[home] [wegweiser] [physik] [mathematik]
U. Konrad [Kontakt] [them. Übersicht] [Videos] [alphab. Übersicht] [intern]