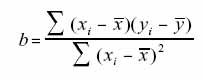
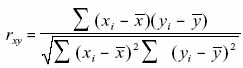
Regression "zu Fuß"

   
     
   
     
   
     

 

[ home ]